南湖一周へっぽこマラソン大会
Mac OS X のファイルの拡張属性を消去する - まんぼう日記 とか MacPorts で OpenCV 3.0.0 + opencv_contrib をインストール - まんぼう日記 でへろへろへろへろ言うてたたかたかです.昨日は朝からあれやこれやの仕事を片付けて,最後に締め切りから20日近く遅れてた某誌の論文査読を仕上げて review report を提出.ようやく一息つけます.ふぅ.
2ヶ月ぶりに土日両方オフにしても支障ない(研究とか家事とかは滞ってるんですが…気にし…ない…)状態になったので,今日はすべて放り出しておでかけ.標記の大会に参加してきました.参加者は1名です (^^;
9時43分スタート,気温は30度前後.で,結果はこうなりました.
42.195km,5時間27分57秒,7:46min/km ( 7.72km/h )
https://www.runtastic.com/ja/users/takashi-takahashi-13/sport-sessions/507178433
10km毎にあれこれ
スタートまで
9時過ぎに家を出てしばらくは計時せず,てくてくウォーミングアップ.まずは唐橋を渡ります.いつもは西岸を北上して近江大橋を渡るんですが,なんか,南湖一周やったら唐橋と琵琶湖大橋を渡らなあかん,ちう気分やったもんで.で,東岸を北上し,ロイヤルオークホテル前でスタート.

スタート地点の風景.近江大橋とプリンスホテル.
10kmまで
てくてく1年記念ハーフマラソン - まんぼう日記 の時は途中で歩いたりせんと走り続けることにこだわりましたが,今回はそんなこだわりはなし.そんな体力ないでんがな.途中で飲み物も補給せんとフルマラソンとか,死にまんがな.というわけで,何も考えんと走ったり歩いたり.へっぽこです (^^;
それでも最初の5kmはずっと走ってみました.上述のハーフマラソンの時とほぼ変わらへんペース.その後は,1kmから2kmほど走って500mほど歩く,の繰り返し.
烏丸半島の手前で10kmに到達.1時間3分49秒.
500mlペット2本のスポーツドリンクを背負ってましたが,10kmで飲みつくしました.5kmで1本.以降も同じ消費率.
20kmまで
烏丸半島前交差点近くのコンビニで飲み物を補給しようとしたら,なんと閉店してる….仕方ないので,道の駅草津に寄り道(時計は止めず).起震車が来てて地震の体験できるイベントやってました.眺めたり参加したくなるんをがまんして湖岸道路に復帰.

道の駅草津の看板と,くさつ夢風車.左のガラス張りは,草津市立水生植物公園みずの森の温室,かな.
湖岸道路に戻ったら,またしばらく走ってしばらくてくてく.琵琶湖大橋が見えてきました.

17kmくらいの地点で撮った琵琶湖大橋.

18km過ぎ,渡橋開始(左).ずっとランニング.右は,一番高くなってる所.結構な勾配があります.
琵琶湖大橋を渡り終えてすぐに20kmに到達.2時間19分36秒.
30kmまで
この区間が一番つらかったです.気温高いし風ないしで,だいぶ暑さにやられちゃいました.がんばって走ろうと思っても,国道161号線沿いは湖岸道路みたいに歩道が整備されてなくて,白線だけの所がほとんど.信号も多いし,交通量も多い….結局,ほとんどぼーっと歩いてました.南湖一周走るっちうどーでもえーことにこだわらへんかったら,クリスマス中止につき,フルマラソン距離てくてく - まんぼう日記 みたいに東側の湖岸道路を往復する方がずっとおすすめです.
下阪本一丁目交差点付近で30kmに到達.3時間51分41秒.
40kmまで
32kmあたりから,それなりの歩道がある道になってきました.もう クリスマス中止につき,フルマラソン距離てくてく - まんぼう日記 の時の記録の更新は無理かなと思い始めてたけど,頭ん中で計算してみたら,まだがんばって走ったらなんとかなりそう.そうすると欲が出てきて体も動くようになって,ランニング復活.連続1kmもよう走らへんへっぽこっぷりですが.そのまま35km地点の浜大津駅前を過ぎて,湖岸へ.遊歩道をへっぽこラン.

39kmくらいの地点で撮った近江大橋.
膳所城趾公園から少し南へ行ったところで40kmに到達.5時間12分2秒.
42.195km
記録更新が確実になったので,へっぽこランの気力すら失い (^^; ,あとはてくてく.そのまま湖岸を南下してもゴールに辿り着かず,最後は国道422号線沿いを自宅の方へ向かってる最中に 42.195km に到達.5時間27分57秒でした.めでたくフルマラソン距離の最速記録を更新しましたよ \(^^)/
データいろいろ
https://www.runtastic.com/ja/users/takashi-takahashi-13/sport-sessions/507178433
Runtastic の計測データ.心拍数が…

5kmスプリットのデータ:
| 距離 | ペース(min/km) | 速度(km/h) | 時間 |
| 5.00 | 5:37 | 10.68 | 28:36 |
| 10.00 | 7:01 | 8.54 | 1:03:49 |
| 15.00 | 7:39 | 7.84 | 1:42:36 |
| 20.00 | 7:31 | 7.97 | 2:19:36 |
| 25.00 | 9:34 | 6.27 | 3:08:00 |
| 30.00 | 8:52 | 6.76 | 3:51:41 |
| 35.00 | 8:22 | 7.16 | 4:33:31 |
| 40.00 | 7:24 | 8.11 | 5:12:02 |
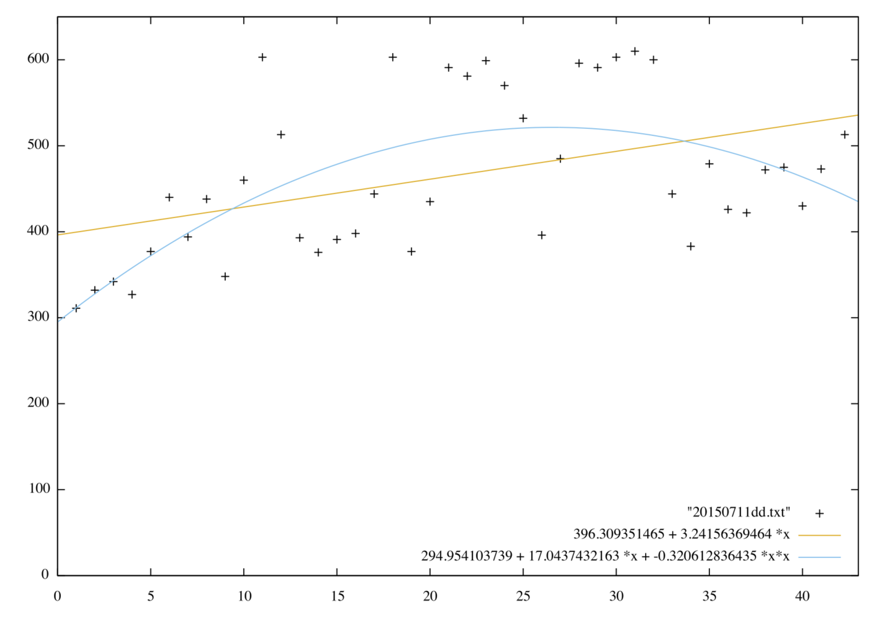
そして,1km毎のペースと,30km 4時間10分 - まんぼう日記 のプログラムを使って最小二乗法で直線と放物線をあてはめたもの.横軸縦軸の単位はそれぞれkmと秒です.20kmから30kmの区間のだめっぷりがようわかりますな.

Runtastic による記録:
- フルマラソン最速: 5:27:57 ( 7:48min/km )
- 最長ラン: 42.27km
- 最長ラン: 5:28:41
- カロリー燃焼最大: 2886kcal
よだんいろいろ
- 満充電で出発したのに,ゴール時には Apple Watch のバッテリは残り13%になってました.心拍計なんかの負荷が大きいんかも.あ,Apple Watch 買いました.その話はまた今度 (^^)
- Runtastic のアプリは Apple Watch の心拍計のデータをとれへんので,従来通り Bluetooth 接続の心拍計を胸に巻いてましたが,データ取得できず.原因不明.そういえばボイスコーチで心拍数教えてくれてへんかった.
- 帰ってシャワー浴びたら,腕や足がひりひり.油断して帽子だけで日焼け止めせえへんかったから….赤いです.やばげな感じです (^^;
- 帰宅後の体重は前日とほぼ変わらず.結局5km毎に500ml,帰宅後の分も入れたら5リットルの水分を補給してたので,体重5kg分は運動したってことか.
最後に,これまでの類似の活動へのリンクをば: